Mathematik der Parallelprojektion

Parallelprojektion

Eine Parallelprojektion wird definiert durch
  • den "Vektor der Blickrichtung" d,
  • die Projektionsebene, die durch einen Referenzpunkt (Vektor r0) und einen Normalenvektor n beschrieben wird, und
  • einen so genannten "Up vector" uv zur Definition des ebenen u-v-Koordinatensystems der Bildebene.

Die Vektoren d, r0, n und uv werden in einem dreidimensionalen raumfesten x-y-z-Koordinatensystem ("World coordinates") beschrieben, für den Vektor n wird vereinbart, daß er einen spitzen Winkel mit dem "Vektor der Blickrichtung" bildet.

Die Definition des zweidimensionalen u-v-Koordinatensystems der Bildebene erfolgt exakt nach der Vorschrift, die für die Zentralprojektion beschrieben wurde, so dass die dort angegebenen Formeln (bis einschließlich der Formel für den Vektor p') unverändert gelten.

Ein beliebiger Körperpunkt P, der im dreidimensionalen x-y-z-Koordinatensystem durch einen (in der Skizze nicht gezeichneten) Vektor p beschrieben wird und sowohl vor oder hinter und auch in der Projektionsebene liegen darf, wird auf die Projektionsebene abgebildet, indem der Schnittpunkt P' (nachfolgend durch den Vektor p' beschrieben) berechnet wird, den eine Parallele zum Vektor der Blickrichtung durch P mit der Projektionsebene hat.

Der Vektor zum Punkt P kann also als Summe des Vektors zum Punkt P' und dem mit einem (zunächst unbekannten) Faktor multiplizierten "Vektor der Blickrichtung" d aufgeschrieben werden:

p = p' + α d   .

Mit der bei Behandlung der Zentralprojektion entwickelten Formel für p' erhält man mit

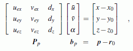
r0 + u ue + v ve = p − α d

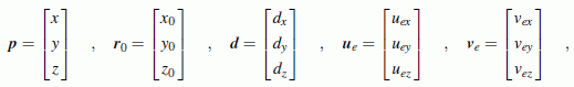
eine Vektorgleichung für die drei Unbekannten u, v und α. Die Vektoren werden durch ihre Komponenten dargestellt:

und die Vektorgleichung kann als lineares Gleichungssystem formuliert werden. Die Lösung von

liefert unmittelbar die Koordinaten u und v des Punktes P' im Koordinatensystem der Bildebene (und den nicht interessierenden Parameter α). Man beachte, dass die Lösung dieses Gleichungssystems (im Gegensatz zur Lösung des entsprechenden Gleichungssystems bei der Zentralprojektion) keine homogenen Koordinaten liefert, sondern direkt die kartesischen Koordinaten des ebenen u-v-Koordinatensystems.

Weiterlesen