Rang einer Matrix

Definition: Der Rang einer Matrix ist die maximale Anzahl ihrer linear unabhängigen Zeilen- bzw. Spaltenvektoren. Bei einer Rechteckmatrix mit m Zeilen und n Spalten kann der Rang nicht größer sein als der kleinere der beiden Werte m und n.

Durch Linearkombination von Zeilen oder Spalten einer Matrix (Multiplikation einer Zeile/Spalte mit einem Faktor und Addition oder Subtraktion zu einer anderen Zeile/Spalte) ändert sich der Rang der Matrix nicht. Der Rang einer Rechteckmatrix kann deshalb z. B. mit dem Gauß-Algorithmus ermittelt werden: Wenn die Rechnung in einer Zeile stoppt, weil in den nachfolgenden Zeilen nur noch Nullen stehen, entspricht die Nummer der "Stoppzeile" dem Rang der Matrix.

Beispiel: In einer Matrix A mit 3 Zeilen und 4 Spalten werden folgende Linearkombinationen ausgeführt:

Linearkombination von Zeilen einer Matrix zur Bestimmung des Rangs

Die Rechnung stoppt in der 2. Zeile, der Rang der Matrix A ist r(A) = 2.

Lösbarkeit eines linearen Gleichungssystems

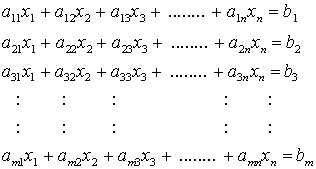
Ein lineares Gleichungssystem

Lineares Gleichungssystem

mit einer beliebigen rechteckigen Koeffizientenmatrix (m Gleichungen mit n Unbekannten) entsprechend

Lineares Gleichungssystems mit m Gleichungen und n Unbekannten

ist lösbar, wenn der Rang der Koeffizientenmatrix r(A) gleich dem Rang der um den Vektor der rechten Seite b erweiterten Matrix (zusätzliche Spalte) r(A,b) ist. Ist dieser Rang gleich der Anzahl der Unbekannten n, ist die Lösung eindeutig. Ist der Rang kleiner als die Anzahl der Unbekannten, dann können n − r(A) Unbekannte frei gewählt werden.

Für den besonders wichtigen Spezialfall der quadratischen Koeffizientenmatrix (n Gleichungen mit n Unbekannten) folgt aus dieser Aussage:

Spezialfall "Homogenes Gleichungssystem": Ein lineares Gleichungssystem

Homogenes Gleichungssystem

(alle Elemente im Vektor der rechten Seite haben den Wert 0) wird homogenes Gleichungssystem genannt. Prinzipiell gelten alle oben gemachten Aussagen auch für homogene Gleichungssysteme. Weil für diesen wichtigen Sonderfall aber noch weitergehende Aussagen möglich sind, wird auf die dafür verfügbare Seite "Homogene Gleichungssysteme" verwiesen.

Beispiele

Siehe auch: "Schwieriges Problem: Singularität erkennen", wo versucht wird, die hier behandelten Beispiele mit Matlab zu lösen.

Das Gleichungssystem

Beispiel eines Gleichungssystems mit singulärer Koeffizientenmatrix   (*)

hat eine singuläre Koeffizientenmatrix (man überzeugt sich leicht, dass det(A) = 0 gilt). Für den Rang der um den Vektor b erweiterten Koeffizientenmatrix gilt:  r(A,b) = 2 (genau diese Matrix wurde oben als Beispiel für die Ermittlung des Rangs verwendet). Da aus der Beispiel-Rechnung ersichtlich ist, dass auch r(A) = 2 ist, hat dieses Gleichungssystem unendlich viele Lösungen, weil der Wert für eine Unbekannte frei gewählt werden kann. Man erhält z. B. nach einigen elementaren Umformungen (entsprechend dem oben demonstrierten Beispiel nach dem Gauß-Algorithmus):

Beispiel: Ein lineares Gleichungssystem mit singulärer Koeffizientenmatrix kann bei Widerspruchsfreiheit unendliche viele Lösungen haben

Hier wurde x3 als die beliebig festzulegende Unbekannte gewählt, rechts sieht man eine kleine Auswahl möglicher Lösungen.

Für das nur auf der rechten Seite leicht modifizierte Gleichungssystem

Lineares Gleichungssystem mit Widersprüchen   (**)

gilt dagegen: r(A) = 2 ≠ r(A,b) = 3. Deshalb hat dieses Gleichungssystem keine Lösung.

Man kann dies anschaulich so deuten:

Rang einer Matrix bestimmen mit der Matlab-Function rrefRang bestimmen mit Matlab

Mit der Matlab-Function rref kann das gestaffelte System einer Matrix nach dem Verfahren von Gauß-Jordan (mit Pivotisierung) ermittelt werden. Dies ist aufwendiger und sicherer als die oben demonstrierte Handrechnung nach dem Gaußschen Algorithmus (ohne Pivotisierung). Der nebenstehend zu sehende Bildschirm-Schnappschuss zeigt das Command Window von Matlab, in dem für die oben untersuchten Matrizen (zusammengefasst zu einer Matrix mit 3 Zeilen und 5 Spalten) das gestaffelte System erzeugt wird.

Das Ergebnis bestätigt die oben durchgeführte Rechnung. Die Matrix A ist vom Rang 2, ebenso die um den Vektor b erweiterte Matrix des ersten untersuchten Gleichungssystems. Die um den Vektor b des zweiten Gleichungssystems erweiterte Matrix hat den Rang 3.