Für das Verständnis der nachfolgend gegebenen Definitionen ist es sicher hilfreich, wenn man sich den zweidimensionalen bzw. dreidimensionalen Vektorraum vorstellt, weil sich darin alle Aussagen, die formal für den n-dimensionalen Raum gemacht werden, geometrisch deuten lassen.

Der n-dimensionale Vektorraum

Die Gesamtheit aller n-dimensionalen Vektoren (Vektoren mit n Komponenten) wird n-dimensionaler Vektorraum genannt. Die Komponenten der Vektoren rekrutieren sich aus einem Zahlenkörper (z. B. dem Zahlenkörper der reellen Zahlen). Vektoren sind im Regelfall Spaltenvektoren

Spaltenvektor

können jedoch auch als Zeilenvektoren in der Form

Ein transponierter Spaltenvektor ist ein Zeilenvektor

(sprich: "x-transponiert") geschrieben werden.

Lineare Unabhängigkeit, Linearkombination

Die Vektoren x1, x2, x3, ... , xm werden linear unabhängig genannt, wenn ihre so genannte Linearkombination

Linearkombination von m Vektoren

nur für  c1 = c2 = c3 = ... = cm = 0 den Nullvektor  y = o  ergibt (alle Komponenten eines Nullvektors sind gleich Null), sonst linear abhängig.

Basis, Einheitsvektoren, Koordinaten

Mehr als n Vektoren des n-dimensionalen Vektorraums sind immer linear abhängig. Ein System von genau n linear unabhängigen Vektoren wird Basis genannt. Jeder beliebige Vektor kann als Linearkombination einer Basis dargestellt werden. Die Koeffizienten ci dieser Linearkombination heißen Koordinaten des Vektors bezüglich der Basis. Speziell bildet das System der n Einheitsvektoren

Spezielle Einheitsvektoren

eine Basis, für die die Komponenten eines Vektors zugleich seine Koordinaten sind.

Euklidischer Vektorraum, Metrik (Betrag, Winkel, Orthogonalität)

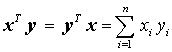
Ein Vektorraum, für den ein inneres Produkt (Skalarprodukt) zweier Vektoren in der Form

Skalarprodukt (inneres Produkt)

definiert ist, heißt Euklidischer Vektorraum. Mit Hilfe dieser Beziehung wird in Anlehnung an die Begriffe des dreidimensionalen Raums eine Metrik eingeführt. Man definiert

Betrag eines Vektors

als Betrag (auch: Länge) des Vektors x und

Abstand zwei Vektoren

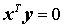
als Abstand der Vektoren x und y. Der Begriff des Winkels φ zwischen zwei Vektoren ist durch die Gleichung

Skalarprodukt, aufgeschrieben mit dem eingeschlossenen Winkel

gegeben. Zwei Vektoren x und y sind also zueinander orthogonal (stehen rechtwinklig aufeinander, kein Vektor besitzt eine Komponente in Richtung des anderen Vektors), wenn

Orthogonalitätsbedingung

gilt.

Orthogonalsystem, Orthonormalsystem, Orthonormalmatrix, Vektornormen