Bogenlänge einer Kurve

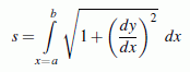
Wenn eine Kurve in einem kartesischen Koordinatensystem durch eine Funktion  y = y(x)  beschrieben wird, dann kann die Länge des Bogens zwischen den beiden Punkten bei  x = a  und  x = b  (in der nebenstehenden Skizze die rot gezeichnete Strecke) nach

berechnet werden.

Analog zur entsprechenden Aussage auf der Seite "Fläche unter einer Kurve" gilt auch hier: Das bestimmte Integral zur Berechnung der Bogenlänge ist in vielen Fällen nur mit erheblichem Aufwand und in den meisten praktischen Fällen gar nicht in geschlossener Form lösbar. Dann sollte man auf die vielfältigen (und bequemen) Möglichkeiten der numerischen Integration zurückgreifen. Hilfreich ist zum Beispiel das Programm "Funktionen analysieren", das man unter "TM-interaktiv" findet.
Auf gesonderten Seiten wird die Berechnung der Bogenlänge für Funktionen, die in Parameterdarstellung gegeben sind, bzw. für Funktionen, die mit Polarkoordinaten beschrieben werden, behandelt.

Beispiel

Im Kapitel "Seilstatik, Kettenlinien, Stützlinien" des Lehrbuchs "Dankert/Dankert: Technische Mechanik" wird gezeigt, dass die Form der Kurve, die ein nur durch sein Eigengewicht q (Gewicht pro Länge) belastetes Seil einnimmt, durch eine Funktion

("Seillinie") beschrieben wird.

Für ein Seil mit vorgegebener Länge L, das an den beiden Punkten A und B entsprechend nebenstehender Skizze aufgehängt ist, können die drei unbekannten Werte in der Seillinie (C1, C2 und FSH) aus folgenden drei Gleichungen berechnet werden:

Die Lösung dieses Gleichungssystems ist etwas aufwendig, insbesondere durch die vorgeschriebene Länge des Seils. Man findet die Lösung auf der Seite "Seillinie (Seil unter Eigengewicht)".