Numerische Berechnung von Nullstellen, Beispiel: "Gleichgewichtslage"

Aufgabe

Zwei Stäbe mit den Längen l1 und l2, deren Eigengewicht zu vernachlässigen ist, sind wie skizziert gelagert und durch die Gewichtskräfte der Massen mB und mC belastet.

Es soll der Winkel α ermittelt werden, für den das System im Gleichgewicht ist.

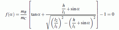
Im Kapitel "Prinzipien der Mechanik" des Lehrbuchs "Dankert/Dankert: Technische Mechanik" wird gezeigt, dass das System nur im Gleichgewicht sein kann, wenn die Gleichung

erfüllt ist. Es sind also die Nullstellen der Funktion f(α) gesucht. Dies ist nur numerisch möglich und wird nachfolgend mit dem Programm "Funktionen analysieren" (zu finden unter "TM-interaktiv") erledigt.

Lösung mit dem Programm "Funktionen analysieren"

Nach dem Start des Programms werden zunächst die gegebenen Werte als Konstanten definieren. Es werden "sprechende Bezeichnungen" für die Konstanten gewählt, z. B. mBdmC für "mB durch mC". Konstanten werden über das (gelbe) Eingabefeld (links oben) definiert, z. B. so: mBdmC = 0.5; (wenn die Konstantendefinition mit einem Semikolon endet, kann man sie mit der Enter-Taste abschließen, immer aber mit Klick auf den Button "Konstante", Achtung: Dezimalpunkt anstelle des Kommas!).

Vor der Funktionsdefinition wird die "Unabhängige Variable" auf alpha umgestellt, dann kann die Funktion z. B. so in das Eingabefeld geschrieben werden:

f = mBdmC*[tan(alpha)+(hdl1+sin(alpha))/sqrt(l2dl1^2-(hdl1+sin(alpha))^2)]-1

Funktionsdefinitionen (ohne das Semikolon am Ende) können mit der Enter-Taste oder mit Klick auf den Button "Funktion" eingegeben werden.

Wenn man für die Interpretation der Winkelfunktionen (links oben) "Grad" einstellt, ist es sinnvoll, den zu untersuchenden Bereich mit alphaAnf=0 und alphaEnd=360 einzustellen. Vorsichtshalber sollte unbedingt auch die grafische Darstellung der Funktion f angefordert werden. Weil wegen der tan-Funktion auch Polstellen zu erwarten sind, wird im Auswahlfeld "Aktionen mit Funktionen:" das Angebot "Grafik, spezielle Punkte" angeklickt, das alle diese Besonderheiten bedient. Danach sollte der Bildschirm so aussehen:

Der Hinweis, dass bei der Berechnung von zwei Funktionswerten Fehler aufgetreten sind, bezieht sich natürlich auf die beiden Polstellen. Es werden zwei Nullstellen gefunden: Für α1 = 46,35° oder α2 = 242,92° ist das System im Gleichgewicht.

Unter "Berechnung von Gleichgewichtslagen, Lösung mit Maple" findet man die Lösung dieser Aufgabe mit dem Mathematik-Programm Maple, die natürlich auf die gleichen Ergebnisse führt.