Polarkoordinaten und Parameterdarstellung

Polarkoordinaten

Für Funktionen, die als r = r(φ) in Polarkoordinaten definiert sind, ist nur in Ausnahmefällen die Frage nach dem Extremwert von r (und dem zugehörigen Wert der unabhängigen Variablen φ) von Interesse. Wenn diese Aufgabe tatsächlich gelöst werden soll, dann gilt alles, was hier zur Berechnung der Extremwerte einer Funktion y = f(x) zu finden ist.

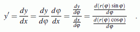
Im Regelfall sind die Extremwerte ye der Funktion gesucht, die sie in der x-y-Ebene annimmt (gegebenenfalls auch die Extremwerte xe). Für die mit differenzierbaren Funktionen mögliche analytische Lösung (vgl. "Extremwert-Berechnung, differenzierbare Funktionen") muss dafür die Ableitung  y ' = dy/dx  gebildet werden. Mit der Umrechnung von Polarkoordinaten auf kartesische Koordinaten entsprechend

(vgl. "Polarkoordinaten, kartesische Koordinaten, Parameterdarstellung") erhält man:

In dieser Form ist die Formel zu benutzen, wenn man einen Punkt mit vorgegebenem Anstieg sucht. Für die Extremwertbestimmung (Anstieg gleich Null) genügt in der Regel die Auswertung des Zählers.

Parameterdarstellung

Für Funktionen, die als x(t) , y(t) in Parameterdarstellung gegeben sind, können die Extremwerte in x- bzw. y-Richtung mit der entsprechenden Funktion x(t) bzw. y(t) berechnet werden. Dabei gilt alles, was hier zur Berechnung der Extremwerte einer Funktion y = f(x) zu finden ist.

Nur für den Fall, dass man einen Punkt mit vorgegebenem Anstieg  y' = dy/dx  sucht, muss diese Ableitung nach folgender Formel tatsächlich gebildet werden:

Beispiel

Für die mit Polarkoordinaten gegebene Funktion

r = 4 cos φ

sollen die Extremwerte für y in der x-y-Ebene berechnet werden.

Die Extremwerte für y treten an der Stelle auf, für die dy/dx = 0 gilt. Nach der oben angegebenen Formel berechnet man:

Die cot-Funktion hat Nullstellen für  2φ = π/2, 3π/2, ... (natürlich genügt auch hier die Auswertung des Zählers, die cos-Funktion hat dieselben Nullstellen wie die cot-Funktion). Damit erhält man zwei Extremwerte (alle weiteren Nullstellen der cot-Funktion liefern die gleichen Punkte):

Natürlich sollte man auch bei dieser einfachen Aufgabe nicht auf eine graphische Darstellung verzichten. Der nebenstehend zu sehende Graph zeigt, dass die untersuchte Funktion einen Kreis repräsentiert und die berechneten Extremwerte die Scheitelpunkte oben bzw. unten sind.

Die graphische Darstellung der Funktion wurde mit dem Programm "Funktionen analysieren" (zu finden unter TM-interaktiv) erzeugt, das auch die (numerische) Berechnung von Extremwerten gestattet. Nebenstehend sieht man das von diesem Programm abgelieferte Ergebnis.

Weil man grundsätzlich nicht auf die graphische Darstellung der zu untersuchenden Funktion verzichten sollte, gibt es also eigentlich keinen Grund, auch das Angebot der numerischen Berechnung der Extremwerte anzunehmen (und auf die analytische Berechnung gegebenenfalls zu verzichten).