Beispiel: Funktionensatz

Ein starrer Stab (linkes Bild: Länge l, Masse m, Gewichtskraft greift im Mittelpunkt des Stabes an) ist bei A drehbar gelagert. Er wird in eine Feder (Federkonstante c) eingehängt, deren Länge l0 (unbelastet) sich dadurch erheblich vergrößert. Zusätzlich wird ein Moment M aufgebracht (Bild rechts oben).

Gesucht ist die Funktion M(β), die angibt, welches Moment M erforderlich ist, um den Stab in einer beliebigen (durch den Winkel β beschriebenen) Lage im Gleichgewicht zu halten.

Die Schnittskizze (unten rechts) zeigt die angreifenden Kräfte und das Moment und einige geometrische Größen, die zur Vereinfachung eingeführt wurden. Diese können alle durch die gegebenen Abmessungen und den Winkel β ausgedrückt werden. Für a und b entnimmt man der Skizze die folgenden Beziehungen und kann damit auch die Gesamtlänge der gedehnten Feder l* aufschreiben:

Für den Winkel δ lassen sich die beiden benötigten Winkelfunktionen angeben:

Der Federweg ist die Differenz aus der Länge der gedehnten Feder l* und ihrer Länge im unbelasteten Zustand l0, so dass die Federkraft als

aufgeschrieben werden kann.

Um die beiden Lagerkräfte bei A, die nicht interessieren, aus der Rechnung herauszuhalten, wird nur das Momentengleichgewicht um A formuliert:

M(β), definiert als Funktionensatz

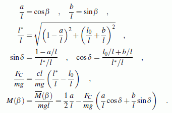
In diese Gleichung könnte man nun die oben angegebenen Beziehungen einsetzen, so dass schließlich auf der rechten Seite nur die gegebenen Größen und die unabhängige Variable β vorkommen. Das ist nicht empfehlenswert. Viel übersichtlicher ist es, wenn M(β) als Funktionensatz aufgeschrieben wird. Dabei dürfen auf der rechten Seite der Funktionen nur die gegebenen Größen, die Variable β und vorab definierte Funktionen vorkommen. Nebenstehend sieht man den Funktionensatz, der diese Bedingungen erfüllt, wobei zusätzlich auf eine dimensionslose Darstellung übergegangen wurde.

Für die Berechnung eines Funktionswertes M(β) muss also immer der gesamte Funktionensatz in der Reihenfolge abgearbeitet werden, wie er hier aufgeschrieben ist.

Auswertung des Funktionensatzes mit dem Programm "Funktionen analysieren"

Das Programm "Funktionen analysieren", das man unter "TM-interaktiv" findet, gestattet auch die Behandlung von Funktionensätzen. Für das hier betrachtete Beispiel würde man zunächst die gegebenen Werte als Konstanten definieren. Es werden "sprechende Bezeichnungen" für die Konstanten und die Funktionen gewählt, z. B. cldmg für "cl durch mg" und l0dl für "l0 durch l".

Bevor die Funktionen definiert werden, wird die "Unabhängige Variable" auf beta umgestellt, dann können nacheinander (in der richtigen Reihenfolge!) die Funktionen des Funktionensatzes eingegeben werden. In dem nachfolgenden Bildschirmschnappschuss sieht man die im Mittelbereich gelisteten Funktionen, im (gelben) Eingabefeld sieht man noch die zuletzt eingegebene Funktion M.

Der Bereich für die grafische Darstellung wird sinnvollerweise auf betaAnf=0 und betaEnd=360 eingestellt, wenn man als Einstellung für die Interpretation von Winkeln (links oben) "Grad" gewählt hat. Wenn nur die Funktion M(β) dargestellt werden soll, müssen die "Häkchen" vor allen anderen Funktionen entfernt werden. Wenn danach in der Auswahlbox "Aktionen mit Funktionen" das Angebot "Grafische Darstellung" gewählt wird, sollte der Bildschirm so aussehen:

Man sieht, dass die Funktion vier Nullstellen hat. Das sind die Stellungen, für die auch ohne das äußere Moment ein Gleichgewichtszustand existiert. Das Angebot "Nullstellen" in der Auswahlbox "Aktionen mit Funktionen" berechnet diese. Sie werden in der nebenstehend zu sehenden Form angezeigt.

Hier findet man eine ausführliche Beschreibung der Nullstellenberechnung und die Interpretation der Ergebnisse.