Die Strategie der numerischen Integration
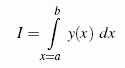
Die Berechnung des bestimmten Integrals
ist häufig außerordentlich aufwendig und auch nicht für
jeden Integranden y(x) in geschlossener
Form möglich. Weil das Ergebnis der Integration die Fläche unter der Kurve
repräsentiert (nebenstehende Skizze), ist die folgende Strategie
naheliegend:
Das Integrationsintervall
a ≤ x ≤ b wird
in n äquidistante Abschnitte der Breite
unterteilt, und für jeden (schmalen) Streifen wird näherungsweise die Fläche
berechnet. Die Summe dieser Teilflächen ist dann eine Näherung für das bestimmte
Integral.
Die zahlreichen Formeln, die dafür entwickelt wurden, unterscheiden sich
darin, wie genau die Teilflächenermittlung durchgeführt wird. Alle Formeln
haben prinzipiell den gleichen Aufbau
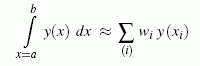
mit den Funktionswerten
y(xi) an den
"Stützstellen" xi und den
"Gewichtskoeffizienten" wi, und für
alle Formeln gilt: Je größer die Anzahl der Abschnitte
n, in die das Intervall unterteilt wird, desto besser
ist die Näherung.
Übersicht über die Verfahren
-
Die NEWTON-COTES-Formeln
entstehen, wenn durch die Punkte an den Stützstellen
Interpolationspolynome gelegt werden: Durch 2 Punkte kann man eindeutig eine
Gerade legen, durch 3 Punkte eine quadratische Parabel usw. Diese Polynomfunktionen
ersetzen bereichsweise den Integranden
y(x),
können integriert werden und führen zu recht einfachen Formeln, die
in der Regel den Ansprüchen genügen.
-
Mit einer einfachen Newton-Cotes-Formel startend, berechnen
rekursiv arbeitende
Verfahren bei immer feinerer Einteilung des Integrationsbereichs den Wert
des Integrals mit einer vorzugebenden Genauigkeit. Der große Vorteil
dieser Verfahren liegt darin, dass der Anwender seine Genauigkeitsansprüche
formulieren kann. Von der großen Anzahl
der nach dieser Strategie arbeitenden Verfahren wird hier das
ROMBERG-Verfahren
vorgestellt.
-
Als Alternative zu den Verfahren, die mit äquidistanten Stützstellen
arbeiten, liefern die
GAUSSschen Quadraturformeln
das Ergebnis mit einem
optimalen Verhältnis zwischen Aufwand (Anzahl der Funktionswertberechnungen)
und Genauigkeit. Diese Formeln finden Verwendung, wenn außerordentlich
viele Integrationen ausgeführt werden müssen (wie zum Beispiel bei der
Element-Berechnung in Finite-Elemente-Programmen) oder wenn
Mehrfachintegrale
über Gebiete mit komplizierter Berandung berechnet werden sollen.