Änderungsverhalten, Differenzen- und Differenzialquotient

Das Problem

Fragen nach dem "Änderungsverhalten" einer Funktion sind zuerst in der Mechanik, später in anderen Zweigen der Physik und dann auch in anderen Wissenschaftszweigen wichtig geworden:

"Wie ändert sich der Funktionswert y einer Funktion  y = f(x)  beim Übergang auf ein benachbartes x?" Die nebenstehende Skizze verdeutlicht und konkretisiert die Frage: Wie groß ist das  Δy = f(xx) − f(x)  beim Übergang von x zu (xx). Als Maß für die Änderung des Funktionswertes bietet sich der so genannte

Differenzenquotient

an. Er kann gedeutet werden als der Tangens des Anstiegswinkels α der Sekante, die die beiden Kurvenpunkte verbindet. Von besonderem Interesse ist die Frage nach dem Grenzwert des Differenzenquotienten, wenn sich die beiden Punkte annähern (Δx geht gegen Null, damit zwangsläufig auch Δy). Dieser Grenzwert ist der

Differenzialquotient:

Differenzialquotient

Der Differenzialquotient kann geometrisch gedeutet werden als der Anstieg (Tangens des Anstiegswinkels) der Tangente an die Kurve  y = f(x).

Beispiel

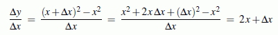
Für die Funktion  y = x2  ergibt sich der Differenzenquotient

und damit der Differenzialquotient:

Die nebenstehende Skizze zeigt die Kurve (Normalparabel), an die bei  x = 1  eine (grün gezeichnete) Tangente gelegt wurde, deren Anstieg

beträgt.

Auf ähnlichem Wege (allerdings im Allgemeinen etwas aufwendiger und schwieriger) erhält man die Ableitungsregeln für andere Standardfunktionen. Man findet hier eine Zusammenstellung der wichtigsten Ableitungsregeln.