Beispiel: Funktionen, die bereichsweise definiert sind
Wenn Funktionen nur bereichsweise definiert werden können, muss
für den jeweils geltenden Bereich die zugehörige Funktion bei der
Berechnung des Funktionswertes verwendet werden. Dies lässt sich am
besten am Beispiel demonstrieren. Die Funktionen von Biegelinien,
Momenten- und Querkraftverläufen sind typische Kandidaten für
die bereichsweise Formulierung von Funktionsverläufen.
Beispiel: Im Kapitel
"Verformungen durch Biegemomente" des
Lehrbuchs "Dankert/Dankert: Technische Mechanik"
findet man die folgende Aufgabe:
Für den zweifach statisch unbestimmt gelagerten Biegeträger mit konstanter
Biegesteifigkeit ermittle man den Biegemomentenverlauf
Mb(z) und stelle ihn
grafisch dar.
Gegeben: a, q1 , EI = konst.
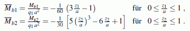
In den beiden Bereichen sind unterschiedliche Funktionen zu erwarten. Der
Ingenieur weiß, dass der Biegemomentenverlauf im (linken) unbelasteten Bereich
linear ist, im (rechten) Bereich mit linear veränderlicher Linienlast
wird sich eine Funktion 3. Grades ergeben.
Nach etwas mühsamer Rechnung erhält man:
Die Funktionen beziehen sich auf die nebenstehend skizzierten Koordinaten.
Natürlich würde man auch mit nur einer Koordinate auskommen, denn es gilt:
z2 = z1 − a bzw. z2/a = z1/a − 1 .
Zwei separate Funktionen benötigt man aber in jedem Fall.
Grafische Darstellung mit dem Programm "Funktionen analysieren"
Das Programm
"Funktionen analysieren"
(zu finden unter
TM-interaktiv)
gestattet mit einigen kleinen Tricks die grafische Darstellung
solcher Funktionen. Hier kann man schrittweise so vorgehen:
- Nach dem Start des Programms wird zunächst die "Unabhängige Variable"
(Voreinstellung: x) zu z1da (soll für "z1 durch a"
stehen) geändert.
- Nun kann im gelben Eingabefeld (links oben) die erste Funktion
definiert werden: Mb1q = -1/60*(3*z1da−1). Eine
Funktionsdefinition wird mit der Enter-Taste oder mit Klick auf den Button
"Funktion" abgeschlossen.
- Um auch die zweite Funktion wie oben angegeben eingeben zu können,
wird zunächst die Koordinaten z2da ("z2 durch a")
ebenfalls als Funktion definiert: z2da = z1da−1.
- Nun kann die zweite Funktion
definiert werden: Mb2q = -1/30*[5*z2da^3−6*z2da+1].
- Die untere und die obere Grenze für beide Funktionen werden durch
die Grenzen für die unabhängige Variable
z1daAnf = 0 bzw. z1daEnd = 2 festgelegt.
- Bleibt noch das Problem, die Darstellung der Funktion
Mb1q auf den Bereich z1da ≤ 1 zu beschränken und
Mb2q erst ab z2da ≥ 0 darzustellen. Dafür bietet
das Programm "Funktionen analysieren" zwei spezielle Funktionen
an. Die "Abschaltfunktion" swoff(x) ("Switch off") und die
"Anschaltfunktion" swon(x) ("Switch on") liefern in Abhängigkeit
vom Argument x die Werte 0 oder 1, swon(x) ist für
x < 0 gleich 0, ansonsten 1, swoff(x) ist für
x < 0 gleich 1, ansonsten 0. Der "Schaltvorgang"
erfolgt also, wenn das Argument den Wert 0 hat. Wenn an der
Stelle x1 "geschaltet" werden soll, muss als
Argument dementsprechend x−x1 eingesetzt werden.
- Damit kann für die bereichsweise geltenden Funktionen folgende
einfache Realisierung gewählt werden. Man addiert die beiden
funktionen Mb1q und Mb2q zu einer neuen Funktion Mbq, wobei
Mb1q bei z1da = 1 "abgeschaltet" und
Mb2q bei z2da = 0 "angeschaltet" wird:
Mbq = Mb1q*swoff(z1da−1) + Mb2q*swon(z2da).
- Nachdem die Funktion Mbq eingegeben wurde, sind insgesamt
4 Funktionen definiert, die im Mittelteil des Bildschirms
gelistet sind. Weil nur Mbq grafisch dargestellt werden
soll, werden die "Häkchen" vor den 3 anderen Funktionen
entfernt, und im Auswahlfeld "Aktionen mit Funktionen"
wird "Grafische Darstellung" gewählt. Der Bildschirm sollte
danach so aussehen: