Beispiel zur Ausgleichsrechnung

Kugelstoßen: Für die Bestimmung der Flugbahn der Kugel steht aus Videoaufnahmen folgende Messreihe zur Verfügung:

xi[m]

0

4

8

12

16

20

yi[m]

2,00

4,93

6,38

6,37

4,88

1,91

Bei Vernachlässigung des Luftwiderstands darf angenommen werden, dass die Kugel sich auf einer quadratischen Parabel bewegt, die durch folgende Gleichung beschrieben werden kann:

y = a0 + a1x + a2x2 .

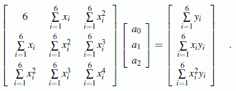
Auf der Seite "Grundlagen der Ausgleichsrechnung wird gezeigt, dass für den hier vorliegenden Fall einer Ausgleichsfunktion 2. Grades die Koeffizienten der Polynomfunktion die Lösungen des folgenden Gleichungssystems sind:

Das nachstehend zu sehende Matlab-Script realisiert diese Rechnung für das betrachtete Beispiel. In das nebenstehend zu sehende Command Window werden die drei Werte  a0, a1 und a2 ausgegeben, die die Ausgleichsparabel definieren, in ein Graphik-Window (darunter zu sehen) wird die Parabel gezeichnet:

Ausgleichsparabel102
Ausgleichsparabel1CW02

Ausgleichsparabel1Graphik

Zum Download verfügbar ist das abgebildeten Matlab-Script Ausgleichsparabel1.m.

Interaktive Berechnung mit dem Programm "Ausgleichspolynom"

Unter "TM-interaktiv" findet man das Programm "Ausgleichspolynom", das exakt den oben beschriebenen Algorithmus realisiert, nachdem die Punktkoordinaten eingegeben wurden.

Nach dem Start des Programms sollte man zunächst die Zeichenfläche dem aktuellen Problem anpassen. Danach werden die Punktkoordinaten eingegeben, im vorliegenden Fall sollte man die Eingabe über die Tastatur bevorzugen. Weil die Voreinstellung ein Ausgleichspolynom 2. Grades vorsieht, kann danach der Button "BERECHNEN" angeklickt werden, und der Bildschirm sollte so aussehen: