Bézier-B-Spline-Approximation
B-Spline-Basisfunktionen
Mit den sogenannten "B-Splines" als Basisfunktionen der
Bézier-Approximation
gelingt es, alle Vorteile der
Bézier-Bernstein-Approximation
bei Ausschaltung der Mängel zu erhalten. Insbesondere gelingt die
Entkopplung des Grades m der Polynomfunktionen
von der Anzahl der
Stützstellen n + 1
(in dieser Hinsicht besteht eine Verwandtschaft mit den
natürlichen Splines). Man bezahlt die
Vorteile mit einem höheren Aufwand bei der Berechnung der
Funktionswerte für die Basisfunktionen, deren rekursive
Definition etwas kompliziert aussieht, was den Anwender, der die
Auswertung der Formeln einem Programm überträgt, aber nicht berührt.
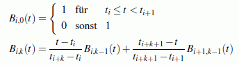
Definition der B-Spline-Basisfunktionen:

B-Spline-Basisfunktionen für n = 10
und m = 3 liegen im Bereich
0 ≤ t ≤ 8. |

B-Spline-Basisfunktionen für n = 10
und m = 1 liegen im Bereich
0 ≤ t ≤ 10. |
Da diese Basisfunktionen für alle Stützstellen i = 0, 1, ..., n berechnet
werden müssen, nehmen die Indizes der tj die
Werte j = 0, 1, ..., n + m + 1 an.
Die tj werden wie folgt
berechnet:
Bei der rekursiven Berechnung der
Bi,k können Ausdrücke der Form "0/0"
auftreten, für die jeweils der Wert 0 angenommen werden muss.
Die beiden Beispiele rechts verdeutlichen, dass die
B-Spline-Basisfunktionen nur in relativ schmalen Bereichen
von Null verschieden sind. Deshalb wirken sich Veränderungen der
Stützstellen auch nur in einem begrenzten Bereich aus. Je kleiner der
Grad m der Ansatzfunktionen ist,
desto schmaler ist dieser Bereich. Damit unterscheiden sie sich von
den Bernstein-Polynomen,
die (bis auf eine Nullstelle) im gesamten Definitionsbereich
von Null verschieden sind.
Gemeinsam mit den Bernstein-Polynomen haben die B-Spline-Basisfunktionen
die Eigenschaft, für i = 0 und i = n an
den Rändern den Wert 1 anzunehmen, während alle übrigen
Polynome an beiden Rändern verschwinden.
Strategie der Berechnung einer Bézier-B-Spline-Approximation
Die Berechnung einer Bézier-B-Spline-Approximation kann nur punktweise
erfolgen. Dies sind die erforderlichen Schritte:
- Gegeben sind n + 1 Punkte
(x0,y0), (x1,y1), ... , (xn,yn).
Unabhängig von der Anzahl der Punkte wird der
Grad m der B-Spline-Basisfunktionen festgelegt.
- Die Bézier-B-Spline-Approximation kann nur punktweise ermittelt
werden. Die Punktkoordinaten werden nach
berechnet, wobei der Parameter t
den angegebenen Bereich, der durch n
und m festgelegt wird, überstreichen muss.
- Die Berechnung eines
(x,y)-Wertepaares
für einen Wert von t
erfordert jeweils die komplette Abarbeitung der oben angegebenen
rekursiven Vorschrift zur Berechnung der
Bi,k(t).
Diese Strategie ist (neben der Möglichkeit,
natürliche Splines
und Bézier-Bernstein-Splines
zu berechnen) im interaktiv zu nutzenden Progamm
"Splines"
realisiert. Die nachfolgend zu sehenden Beispiele wurden
mit diesem Programm berechnet.
Demonstration der Eigenschaften von Bézier-B-Spline-Approximationen

Bézier-B-Spline-Approximation für
n = 6
und m = 3 mit
Stützpolygon
|
Die wichtigsten Eigenschaften der Bézier-B-Spline-Approximationen
werden nachfolgend zusammengestellt und jeweils an Beispielen
demonstriert:
- Alle für die
Bézier-Bernstein-Approximationen aufgelisteten Eigenschaften
gelten auch für die Bézier-B-Spline-Approximationen: Anfangs- und
Endpunkte sind mit den Anfangs- und Endpunkten des Stützpolygons
identisch, Tangentenrichtungen in diesen Punkten stimmen mit den
Tangentenrichtungen des Stützpolygons überein (siehe nebenstehendes
Beispiel), Kurve liegt vollständig innerhalb der "konvexen Hülle"
der Stützpunkte.
- Für m = 1 (lineare
B-Spline-Basis-Polynome) ist die Bézier-B-Spline-Approximation
mit dem Stützpolygon identisch.
- Für m = n (Grad
der B-Spline-Basispolynome ist um 1 kleiner als die Anzahl der
Stützstellen und entspricht damit dem Grad der Bernstein-Polynome) ist
die Bézier-B-Spline-Approximation mit der Bézier-Bernstein-Approximation
identisch.

Bézier-B-Spline-Approximationen mit
m = 3
(gelbe Kurve)
und m = 6 (grüne Kurve)
|
- Je niedriger der Grad der B-Spline-Basisfunktionen ist, desto
besser ist die Anpassung der Bézier-B-Spline-Approximation an
das Sützpolygon (man vergleiche die nebenstehend zu
sehenden Kurven). Deshalb werden besonders gern Basisfunktionen
mit m = 2 oder m = 3 verwendet.

Natürlicher Spline (grüne Kurve),
Bézier-B-Spline-Approximationen mit
m = 3
(gelbe Kurve)
und Bézier-Bernstein-Approximation (rote Kurve)
|
- Bézier-B-Spline-Approximationen passen sich besser an den
Stützpolygonzug an als die Bézier-Bernstein-Approximationen
(Ausnahme ist der Fall
m = n, für den
die beiden Approximationen identisch sind).
Nebenstehend sieht man ein Beispiel, bei dem zum Vergleich
auch die natürliche Spline-Kurve gezeichnet wurde,
die per Definition durch alle Stützpunkte verläuft.

Verschiebung eines einzelnen Punktes
|
- Da die B-Spline-Basispolynome nur in einem (bei kleinem
m sehr schmalen) Bereich von Null
verschieden sind, können die Bézier-B-Spline-Approximationen lokal
kontrolliert werden: Die Änderung eines Punktes hat im allgemeinen
nur Auswirkungen auf die Bereiche in der Nähe dieses Punktes
(genau auf m + 1 Bereiche, bei
m = 3 z. B. auf jeweils
zwei Bereiche links bzw. rechts vom geänderten Punkt). Der
nebenstehende Bildschirm-Schnappschuß zeigt die Auswirkung der
Verschiebung des Punktes 6, (das weiße Cursor-Kreuz zeigt die
aktuelle Position des Punktes während der Verschiebung). Die
aktuelle (hellblaue) Kurve unterscheidet sich nach links
nur bis zum Punkt 4, nach rechts bis zum Punkt 8.

Knickstellen und Geradenstück
|
- Wenn mindestens m + 1 Punkte des
Stützpolygons auf einer Geraden liegen, dann ist auch die
Bézier-B-Spline-Approximation in diesem Bereich eine Gerade
(es können exakt linear verlaufende Teilstücke realisiert werden,
nebenstehendes Beispiel).
- Es ist möglich, in der Punktfolge zwei oder mehr identische Punkte
(unmittelbar aufeinander folgend) zu haben, die dann eine
entsprechend "vergrößerte Anziehungskraft" auf die Kurve ausüben.
Bei m + 1 (oder mehr) identischen
Punkten verläuft die Kurve durch diese Punkte. Da die Kurve an
solchen Stellen eine theoretisch unendlich große Krümmung realisieren
kann, hat man damit auch die Möglichkeit, einen "Knick" in
den Kurvenverlauf einzufügen.