Verfahren von Ritz, Beispiel: Biegeträger

Prinzip vom Minimum des elastischen Potenzials

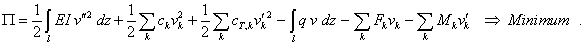
Ein gerader Biegeträger mit veränderlicher Biegesteifigkeit sei durch Einzellasten, Linienlasten und Einzelmomente belastet und in starren Lagern und elastischen Lagern (Federn und Drehfedern) gelagert. In Trägerlängsrichtung verlaufe eine Koordinate z, nach unten gerichtete Vertikalverschiebungen v (Durchbiegungen) sind positiv.

Im Kapitel "Prinzipien der Mechanik" des Lehrbuchs "Dankert/Dankert: Technische Mechanik" wird gezeigt, dass sich aus der allgemeinen Formulierung des Prinzips vom Minimums des elastischen Potenzials für diesen Biegeträger folgendes Minimalprinzip herleitet (die vk sind die Durchbiegungen, die vk' die Biegewinkel an den Angriffspunkten der diskreten Federn und diskreten Belastungen):

Die Funktionen vi des Ritzschen Näherungsansatzes

müssen jede für sich die geometrischen Randbedingungen erfüllen. Für den oben skizzierten Träger müssen also die Verschiebungen an beiden Rändern verschwinden, und die vi(z) müssen am rechten Rand eine horizontale Tangente haben.

Einsetzen dieses Ansatzes in die Formel für das elastische Potenzial und Auswerten der Minimalbedingungen

führt auf ein lineares Gleichungssystem für die Koeffizienten des Ritz-Ansatzes ai:

mit der symmetrischen Koeffizientenmatrix K, deren Elemente sich nach

berechnen, und den Elementen der rechten Seite

Beispiele

Die durch Klicken auf die nachfolgenden Bilder zu erreichenden Aufgaben mit Lösungen arbeiten ausschließlich mit Polynom-Ansatzfunktionen, die jeweils für die gesamte Trägerlänge gültig sind. Bei Anwendung des Ritzverfahrens für die Finite-Elemente-Methode wird dagegen mit bereichsweise geltenden Ansatzfunktionen gearbeitet.

Einführungsbeispiel Biegeträger mit Linienlast, diskreten Lasten,
starrer und elastischer Lagerung
Problem: Unstetigkeit in der Biegesteifigkeit