Finite-Elemente-Methode - ein sehr formaler Prozess
Die Rolle der Element-Steifigkeits-Beziehung
Die besondere Stärke der Finite-Elemente-Methode ist, dass alle
an das Ergebnis zu stellenden Forderungen (Berücksichtigung von Materialeigenschaften
und Geometrie, Gleichgewicht, Kompatibilität, Randbedingungen) durch formale Prozesse
mit Matrizen erfüllt werden. Dies wurde auf den Seiten
"Einführungsbeispiel (Element-Steifigkeit, System-Steifigkeit)"
an dem einfachsten Element der Elastostatik (Bild links) und auf der Seite
"Lösung für die System-Steifigkeitsbeziehung"
an dem einfachen Beispiel mit nur zwei Elementen (Bild rechts) demonstriert. Dort
wurde die physikalische Begründung für die einzelnen Schritte gegeben.
Hier sollen die einzelnen Schritte noch einmal unter dem wichtigen Aspekt der
"Formalisierung" beschrieben werden, um zu verdeutlichen, dass sich die Individualität
eines Problems auf einen sehr kleinen Bereich beschränkt, während der weitaus
größte Teil der Rechnung für fast alle Problemklassen einem identischen
Prozess folgt.
Die Problemklasse, der eine Aufgabe zuzuordnen ist, wird im Wesentlichen durch
die Element-Steifigkeitsbeziehung erfasst. Im betrachteten Beispiel ist dies
das "Fluchtende Stabelement für elasto-statische Berechnungen", für das die Element-Steifigkeitsbeziehung durch
die Element-Steifigkeitsmatrix Ke
und den Vektor der reduzierten Elementlasten
fe,red repräsentiert wird:
Matrix Ke
und Vektor fe,red müssen
als Formel (wie in diesem einfachen Fall) oder
als Algorithmus, der den Aufbau beschreibt, bereitgestellt werden. Für eine Reihe von
Problemklassen können diese Berechnungs-Vorschriften
über die Seite "Elemente verschiedener Problemklassen - Übersicht"
erreicht werden. Danach startet der nachfolgend beschriebene formale
FEM-Algorithmus.
Der formale FEM-Algorithmus
- Die Informationen über die Materialeigenschaften und die Geometrie (Abmessungen
der Elemente) stecken in den Element-Steifigkeitsmatrizen. Elementbelastungen (hier:
Eigengewicht) gehen in die Rechnung über die Vektoren der reduzierten
Elementlasten ein. Diese werden für
einen bestimmten Elementtyp (hier: Fluchtendes Stabelement) nach einem einmal
festzulegenden Algorithmus (hier: Ke
und fe,red
werden durch die oben angegebenen Formeln definiert) aufgebaut.
- Die Kompatibilität der Verschiebungen der einzelnen Elemente wird über
die Knoten erreicht, indem die Verschiebungen der Elementknoten durch die
Verschiebungen der System-Knoten ersetzt werden. Die Verschiebungen der
Knoten 1 und 2 beider Elemente wurden zu den Knotenverschiebungen der
Knoten I, II und
III:
Die rechts mit römischen Zahlen dargestellte so genannte Koinzidenzmatrix
beschreibt die topologische Zusammensetzung der Struktur aus den Elementen
(jede Zeile enthält die Knotennummern eines Elements).
- Gleichgewicht zwischen den inneren Kräften und den äußeren Belastungen wird durch
das Einspeichern der Element-Steifigkeitsmatrizen in die System-Steifigkeitsmatrix
und das Einspeichern der Vektoren der reduzierten Elementlasten und der Knotenkräfte
in den System-Kraftvektor erzielt: In eine Null-Matrix wird zunächst die
Element-Steifigkeitsmatrix des Elements a auf die
Positionen gespeichert, die durch die Koinzidenzmatrix vorgegebenen werden (betrifft
hier die Zeilen bzw. Spalten I
und II). Algorithmisch übereinstimmend mit dem Prozess für die
nachfolgenden Elemente ist die Interpretation: Die Matrixelemente werden "zu den
Null-Elementen addiert".
Danach wird die Element-Steifigkeitsmatrix des Elements b
eingefügt, indem alle Matrixelemente auf die wieder durch die Koinzidenzmatrix
bestimmten Positionen (hier: Zeilen bzw. Spalten II und
III) addiert werden. Für das behandelte Beispiel ist die
System-Steifigkeitsmatrix damit komplett:
Entsprechend wird der System-Kraftvektor erzeugt:
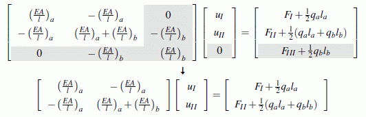
- Die verhinderten Verschiebungen (geometrische Randbedingungen) werden
eingearbeitet, indem man die zu einer Nullverschiebung (im Beispiel:
uIII am Knoten III)
gehörenden Zeilen und Spalten der System-Steifigkeitsmatrix und die entsprechenden
Positionen im System-Verschiebungsvektor und im System-Kraftvektor streicht:
- Die System-Steifigkeitsbeziehung nach Einbau der Randbedingungen ist ein
lineares Gleichungssystem,
das mit einem einschlägigen Verfahren gelöst werden kann. Man erhält die Knotenverschiebungen.
Mit diesen können die beim Einarbeiten der geometrischen Randbedingungen
gestrichenen Gleichungen genutzt werden, um die unbekannten Kräfte
(Lagerreaktionen) zu berechnen.
Modifizierte Systeme
Neben dem oben beschriebenen hohen Formalisierungsgrad des Finite-Elemente-Algorithmus,
der der Programmierung außerordentlich entgegenkommt (Erfüllung der
Gleichgewichtsbedingungen durch "Einspeichern", Berücksichtigung der Lagerung
durch "Zeilen-Spalten-Streichen"), ist die Möglichkeit der einfachen Variation der
berechneten Struktur ein gewaltiger Vorteil:
- Eine Änderung der Belastung (oder ein zusätzlicher Lastfall) beeinflusst
die System-Steifigkeitsmatrix nicht. Wenn für die Lösung des Gleichungssystems
ein geeignetes Eliminationsverfahren benutzt wird, braucht die Dreieckszerlegung
der Koeffizientenmatrix (im Allgemeinen der aufwendigste Teil der
Finite-Elemente-Berechnung überhaupt) in diesem Fall nicht neu ausgeführt zu werden.
- Änderungen der Element-Abmessungen und der Materialeigenschaften können
berücksichtigt werden, indem einzelne Elemente aus der System-Steifigkeitsmatrix
wieder entfernt (Einspeichern "negativer" Elemente) und neue Elemente hinzugefügt
werden (Berechnung verschiedener Varianten einer Konstruktion).
- Nach dem Aufbau der System-Steifigkeitsmatrix kann diese durch unterschiedliche
Lagerung der Struktur unterschiedlich modifiziert werden (Berechnung verschiedener
Lagerungsvarianten einer Konstruktion).
- Die statisch unbestimmte Lagerung eines Systems macht die Berechnung weder
komplizierter noch aufwendiger, im Gegenteil: Das nachfolgende Beispiel zeigt,
dass sich die Anzahl der Gleichungen im linearen Gleichungssystem sogar verringert.
Beispiel: Das links zu sehende System diente auf der Seite
"Einführungsbeispiel (Element-Steifigkeit, System-Steifigkeit)"
als Demonstrationsbeispiel für das Formulieren der System-Steifigkeits-Beziehung.
Der nebenstehend rechts skizzierte Stab hat die gleichen Abmessungen und Materialeigenschaften.
Er trägt jedoch nur eine äußere Kraft FII und ist an
den Punkten I und III (statisch unbestimmt)
gelagert (auch das Eigengewicht soll unberücksichtigt bleiben, würde jedoch die
Aufgabe nicht nennenswert komplizierter machen).
Die für das links dargestellte System aufgebaute System-Steifigkeitsbeziehung kann wieder
verwendet werden (unter Verzicht auf qa
und qb im System-Kraftvektor), weil sich
die Abmessungen und Materialeigenschaften nicht geändert haben. Die beiden
geometrischen Randbedingungen
uI = 0 und uIII
werden durch Streichen der ersten und dritten Zeile (Spalte) realisiert,
und das Gleichungssystem degeneriert zu einer einzigen Gleichung,
Die Lösung liefert die Verschiebung des Punktes II:
Mit diesem Ergebnis ergeben sich die Kräfte bei I und
III (Lagerreaktionen) auch hier aus den (zunächst gestrichenen)
Gleichungen 1 und 3 der System-Steifigkeitsbeziehung:
