Dynamische Probleme: Hamiltonsches Prinzip ⇒ FEM
Allgemeine 3D-Formulierung

Bei dynamischen Problemen bietet sich das Hamiltonsche Prinzip

als Ausgangspunkt an: Zwischen zwei Zeitpunkten t1 und t2 verläuft die Bewegung eines Massensystems so, dass das Zeitintegral über die (für konservative Systeme geltende) Lagrangesche Funktion

 L = T − Π 

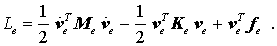
einen stationären Wert annimmt. Π ist das elastische Potential, T die kinetische Energie des Systems, die für ein einzelnes finites Element in der Form

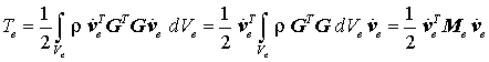
aufgeschrieben werden kann mit

  • - Dichte des Materials (ist in der Regel konstant),
  • - Geschwindigkeitsfeld der Massenpunkte.

Für das Geschwindigkeitsfeld wird die gleiche Strategie gewählt, mit der im elastostatischen Fall die Verschiebungen durch die Knotenverschiebungen ausgedrückt wurden:

stellt den Zusammenhang der Knotengeschwindigkeiten mit dem Geschwindigkeitsfeld im Inneren des Elements mit den gleichen Ansatzfunktionen her, die auch für den elastostatischen Fall verwendet (und wie dort erzeugt) werden. Damit ergibt sich der Integralausdruck für die kinetische Energie in einem Element zu

(die Knotengeschwindigkeitsvektoren können aus dem Integral herausgezogen werden) mit der so genannten Elementmassenmatrix

Damit kann die Lagrangesche Funktion für ein finites Element aus kinetischer Energie und elastischem Potential zusammengesetzt werden:

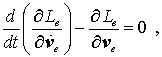
Zum Hamiltonschen Prinzip gehören die "Lagrangeschen Gleichungen 2. Art" (vgl. Abschnitt 33.4.3 auf Seite 633)

die mit der Lagrangeschen Funktion für ein Element auf folgendes Differenzialgleichungssystem führt:

Hierin sind Ke und fe die Elementsteifigkeitsmatrix und der Elementbelastungsvektor wie für das elastostatische Problem, Me ist die Elementmassenmatrix, für die die gerade entwickelte Formel gilt.

Auch hier sind die Überlegungen zunächst für ein Element angestellt worden. Das Zusammensetzen der Elementmassenmatrizen zur Systemmassenmatrix erfolgt nach dem gleichen "Einspeicherungs-Algorithmus" wie für die Steifigkeitsmatrizen. An den Knoten zusätzlich vorhandene diskrete Massen dürfen auf die entsprechenden Hauptdiagonalelemente der Systemmassenmatrix addiert werden.

Im Gegensatz zum elastostatischen Problem entsteht bei dynamischen Problemen ein Differenzialgleichungssystem

Wenn z. B. die freien Schwingungen (f = o) berechnet werden sollen, führt der aus der Schwingungslehre bekannte Ansatz

auf das allgemeine symmetrische Matrizeneigenwertproblem

das die Eigenkreisfrequenzen der Schwingung ω und die zugehörigen Eigenschwingungsformen liefert.

Spezialfall Biegeschwingungen

Für den geraden Biegeträger wird angenommen, dass sich (wie in der Skizze angedeutet) die Masseteilchen nur vertikal bewegen.

Zunächst wird auch hier nur das Element e mit den i und j betrachtet, das zusätzlich zu den Eigenschaften, die es für das elastostatische Problem hatte, noch durch eine Massebelegung ρA charakterisiert wird, die wie die Biegesteifigkeit veränderlich sein darf.

Für das Verschiebungsfeld wird der gleiche Ansatz wie im elastostatischen Fall verwendet, für das Geschwindigkeitsfeld (Geschwindigkeit der Masseteilchen in vertikaler Richtung) wird der folgende Ansatz

gemacht, wobei die gleichen Funktionen gi(ze) verwendet werden wie für das Verschiebungsfeld (also die oben für das elastostatische Problem ermitteltenn Funktionen g1 bis g4).

Damit ergibt sich die gleiche Elementsteifigkeitsmatrix wie für das elastostatische Problem, und die Elementmassenmatrix errechnet sich nach der Formel (vgl. nebenstehend beschriebenen allgemeinen Fall)

mit

und

Sie ergibt sich in der gleichen Form wie die Elementsteifigkeitsmatrix:

mit   

Für den Sonderfall "Konstante Massenbelegung ρA" können die Integrale der mmn-Formel auch hier allgemein gelöst werden, für m24 erhält man z. B.:

Und das ist die komplette Elementmassenmatrix für konstante Massenbelegung des Biegeträgers:

Der Algorithmus für den Aufbau der Systemmatrizen ist in diesem Fall für Systemsteifigkeitsmatrix und Systemmassenmatrix gleich (Einspeicherungsstrategie mit Addition der Elemente, die auf gleiche Positionen kommen).

Beide Matrizen sind symmetrisch und haben in der Regel eine ausgeprägte Bandstruktur. Dies kann gegebenenfalls bei der Lösung des Matrizeneigenwertproblems für die Berechnung von Eigenschwingungen mit Vorteil genutzt werden. Auch hier müssen natürlich vor der Lösung des Eigenwertproblems die geometrischen Randbedingungen (verhinderte Verschiebungen) eingebaut werden. Dafür wird die Strategie des "Zeilen-Spalten-Streichens" dringend empfohlen.

Ein Beispiel für Elementsteifigkeits- und Elementmassenmatrix eines Biegeträgers auf der Basis der angegebenen Formeln und den Zusammenbau dieser Beziehungen zu Systemsteifigkeitsmatrix und Systemmassenmatrix findet man auf der Seite "Beispiel: Systembeziehung für Eigenschwingungsberechnung".