Gewöhnliche Differenzialgleichungen
Eine Differenzialgleichung ist eine Gleichung, in der
Differenzialquotienten einer Funktion (oder mehrerer Funktionen) auftreten.
Gesucht sind die Funktionen, die diese Gleichung (und gegebenenfalls
mehrere Zusatzbedingungen) erfüllen.
Gewöhnliche Differenzialgleichungen enthalten ausschließlich
gesuchte Funktionen,
die nur von einer unabhängigen Variablen abhängig sind (und damit gibt es auch
nur Ableitungen nach dieser Variablen). Die höchste in der Differenzialgleichung
auftretende Ableitung der gesuchten Funktion bestimmt die
Ordnung der Differenzialgleichung.
Beispiel: Die Differenzialgleichung des
elastisch gebetteten Trägers
ist eine Differenzialgleichung 4. Ordnung. Darin
sind
EI(
z),
k(
z) und
q(
z)
gegebene Funktionen. Gesucht ist die Funktion
v(
z)
(Durchbiegung des Trägers), die diese Differenzialgleichung erfüllt. Man
findet ein Beispiel auf der Seite
"Elastisch gebetteter Träger".
Lineare und nichtlineare Differenzialgleichungen
Eine "Lineare Differenzialgleichung"
enthält die gesuchte Funktion
und deren Ableitungen
nur in der ersten Potenz. Es dürfen keine Produkte von gesuchter
Funktion und ihren Ableitungen auftreten. Die gesuchte Funktion
darf auch nicht in Argumenten von Winkelfunktionen, Logarithmen usw.
erscheinen. Die allgemeine lineare Differenzialgleichung
n-ter Ordnung kann in der Form
aufgeschrieben werden.
Beispiel: Die oben angegebene Differenzialgleichung des elastisch
gebetteten Trägers ist eine lineare Differenzialgleichung.
"Nichtlineare Differenzialgleichungen" sind alle
Differenzialgleichungen, die nicht nach der oben gegebenen Definition
als "linear" klassifiziert werden können.
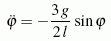
Beispiel: Die Pendelbewegung eines dünnen Stabs wird durch die
nichtlineare Differenzialgleichung
beschrieben (
g ist die Erdbeschleunigung,
l die Stablänge). Punkte über der Variablen
bedeuten: Ableitung nach der Zeit
t. Gesucht ist der Winkel
φ(
t).
Selbst diese einfach aussehende Differenzialgleichung
ist nicht geschlossen lösbar. Man findet ihre numerische Lösung
auf der Seite
"Schwingung (dünner Stab mit großen Ausschlägen)".
Allgemeine und spezielle Lösungen
Die "Allgemeine Lösung" einer Differenzialgleichung
erfüllt die Differenzialgleichung und enthält bei einer
Differenzialgleichung
n-ter Ordnung n
freie "Integrationskonstanten", zu deuten als eine Kurvenschar.
Die Integrationskonstanten können durch Zusatzbedingungen
(z. B. Randbedingungen, Übergangsbedingungen, Anfangsbedingungen)
bestimmt werden, wodurch für diesen speziellen Fall die
"Spezielle Lösung" entsteht.
Beispiel: Die reibungsfreie Bewegung einer Masse m,
die durch eine Feder (Federzahl c) gefesselt ist,
kann durch die lineare Differenzialgleichung zweiter Ordnung
beschrieben werden. Diese hat die allgemeine Lösung
mit den beiden Integrationskonstanten
A
und
B (man überzeugt sich zum Beispiel durch Einsetzen,
dass die Differenzialgleichung erfüllt ist). Der spezielle Fall soll so definiert werden:
Die Masse
m wird zum Zeitpunkt
t=0
um
x0 ausgelenkt und ohne Anfangsgeschwindigkeit
freigelassen. Dann können zwei Anfangsbedingungen formuliert werden:
Aus diesen beiden Bedingungen errechnet man durch Einsetzen in die allgemeine
Lösung die Integrationskonstanten
A
und
B, so dass die spezielle Lösung (Bewegungsgesetz)
lautet:
Differenzialgleichungssysteme
Ein "Differenzialgleichungssystem" besteht aus
m Differenzialgleichungen, in denen
m gesuchte Funktionen enthalten sind.
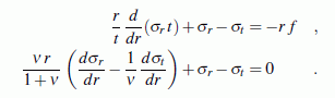
Beispiel 1: Für die Berechnung der
Radialspannung σr
und der Tangentialspannung σt
in einer rotationssymmetrischen Scheibe wird im Kapitel
"Rotationssymmetrische Modelle" folgendes Differenzialgleichungssystem
hergeleitet:
Darin sind
t die Scheibendicke,
ν eine Materialkonstante (Querkontraktionszahl)
und
f eine radial gerichtete Volumenlast
(z. B. die Fliehkraft in der rotierenden Scheibe).
Dies ist ein Differenzialgleichungssystem erster Ordnung (die höchsten
Ableitungen sind die ersten Ableitungen von
σr und
σt) mit zwei
linearen Differenzialgleichungen.
Nur für spezielle Funktionen
t(
r)
findet man eine allgemeine Lösung. Für den Spezialfall konstanter
Scheibendicke
t kann das System in eine
geschlossen lösbare
Differenzialgleichung überführt werden. Man findet ihre allgemeine
Lösung auf der Seite
"Eulersche Differenzialgleichungen".
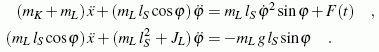
Beispiel 2: Die Bewegung einer Laufkatze mit anhängender Last kann durch die
beiden zeitabhängigen Funktionen
x(t)
und
φ(t)
beschrieben werden. Die Differenzialgleichungen
werden im Kapitel "Prinzipien der Mechanik" hergeleitet:
Dies ist ein Differenzialgleichungssystem zweiter Ordnung (die höchsten
Ableitungen sind die zweiten Ableitungen von
x(
t)
und
φ(
t)
nach der Zeit) mit zwei
nichtlinearen Differenzialgleichungen.
Es kann nur
numerisch gelöst
werden, die
Lösung findet man hier.
Lösbarkeit
Analytische Lösungen für Differenzialgleichungen oder Differenzialgleichungssysteme
zu finden, ist nur in Ausnahmefällen möglich, das heißt: In den meisten
Fällen kann man die allgemeine Lösung nicht als Funktion darstellen,
die beim Einsetzen die Differenzialgleichungen erfüllen. Für die typischen
Differenzialgleichungen der Technischen Mechanik gilt:
-
Für eine Differenzialgleichung erster Ordnung
gibt es noch relativ gute Chancen
für eine analytische Lösung. Geeignete Substitutionen oder die Strategie
der "Trennung der Variablen" können zum Erfolg führen.
Differenzialgleichungen erster Ordnung sind in der Technischen Mechanik
recht selten.
-
Die linearen Differenzialgleichungen
können für einige spezielle Funktionen
fi(x)
analytisch gelöst werden. Der auch für die Technische Mechanik sehr wichtige
Spezialfall der
"Linearen Differenzialgleichung mit konstanten Koeffizienten"
kann für
r(x) = 0
(homogene Differenzialgleichung)
analytisch gelöst werden. Auch für die in der Technischen Mechanik typischen
"rechten Seiten"
r(x)
findet man Lösungen. Für
Systeme linearer Differenzialgleichungen mit konstanten Koeffizienten
gelten die gleichen Aussagen.
-
Nichtlineare Differenzialgleichungen
sind nur in seltenen Ausnahmefällen
analytisch lösbar. In der Technischen Mechanik sind die
Bewegungs-Differenzialgleichungen die typischen Vertreter dieser Art,
die (bis auf wenige "akademische Probleme") nur numerisch gelöst
werden können.