Beispiel: Elastisch gebetteter Träger
Elastisch gebetteter Träger

Aufgabe

Der skizzierte elastisch gebetteten Träger mit konstanter Biegesteifigkeit EI auf einem Untergrund mit konstanter Bettungsziffer k trägt eine konstante Linienlast q0. Im Kapitel "Spezielle Biegeprobleme wird für die Berechnung der vertikalen Durchbiegung des Trägers die Differenzialgleichung hergeleitet:

Differenzialgleichung des elastisch gebetteten Trägers
Die allgemeine Lösung dieser linearen Differenzialgleichung 4. Ordnung mit konstanten Koeffizienten setzt sich aus der allgemeinen Lösung der zugehörigen homogenen Differenzialgleichung und einer Partikulärlösung der inhomogenen Differenzialgleichung entsprechend
Allgemeine Lösung als Summe aus Lösung der homogenen Differenzialgleichung und einer Partikulärlösung
zusammen. In die homogene Differenzialgleichung
Zur Differenzialgleichung des elastisch gebetteten Trägers gehörende homogene Differenzialgleichung
wird der für homogene lineare Differenzialgleichungen mit konstanten Koeffizienten passende Ansatz v = eλz (v'''' = λ4eλz) eingesetzt. Die auf diese Weise gewonnene charakteristische Gleichung 4. Grades
Charakteristische Gleichung
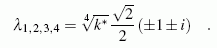
hat vier verschiedene komplexe Lösungen
Lösungen der charakteristischen Gleichung
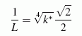
Wie man sich leicht überzeugt, hat der gemeinsame Faktor der vier Lösungen die Dimension ("Länge")-1. Deshalb wird die Abkürzung
Gemeinsamer Faktor
eingeführt, so dass die vier λ-Werte in der Form
Lösungen der charakteristischen Gleichung
aufgeschrieben werden können. λ1 und λ2 sind zueinander konjugiert komplex, ebenso λ3 und λ4. Deshalb können jeweils die beiden zugehörigen (komplexen) Partikulärlösungen zusammengefasst werden, wie es hier allgemein demonstriert wurde. Damit lautet die Lösung der homogenen Differenzialgleichung:
Allgemeine Lösung der homogenen Differenzialgleichung
Schließlich muss noch eine Partikulärlösung für die inhomogene Differenzialgleichung
Inhomogene Differenzialgleichung
gefunden werden, was in diesem Fall "durch genaues Hinsehen" erledigt werden kann. Polynomfunktionen bis 3. Grades verschwinden bei der 4. Ableitung, so dass für eine Partikulärlösung nur der zweite Summand auf der linken Seite betrachtet werden muss. Es ist klar, dass für diese Polynomfuntionen (und natürlich erst recht für die in diesem Fall konstante rechte Seite) die Differenzialgleichung für
Partikulärlösung
erfüllt ist. Damit ist nun auch die allgemeine Lösung der Differenzialgleichung für die Differenzialgleichung des elastisch gebetteten Trägers bekannt:
Allgemeine Lösung der Differenzialgleichung des elastisch gebetteten Trägers

Spezielle Lösung der Differenzialgleichung

Die allgemeine Lösung enthält 4 Integrationskonstanten. Um daraus die spezielle Lösung für das aktuelle Problem zu erzeugen, müssen 4 Randbedingungen formuliert werden. Am linken (starr eingespannten) Rand ist die Vertikalverschiebung gleich Null, und die Biegelinie muss eine horizontale Tangente haben. Am rechten Rand ist die Vertikalverschiebung ebenfalls Null, außerdem ist dieser Rand biegemomentenfrei.

Die Berechnung der Integrationskonstanten aus diesen Bedingungen ist mit einigem Aufwand verbunden, die Hilfe des Computers ist dringend anzuraten. Man findet die komplette Rechnung und die Auswertung der Ergebnisse hier.