Definitionen

Die Allgemeine Lösung einer Differenzialgleichung n-ter Ordnung

Differenzialgleichung n-ter Ordnung

enthält noch n unabhängige Parameter (Integrationskonstanten), repräsentiert also eine Kurvenschar. In der Regel interessiert jedoch nur eine spezielle Lösung für ein vorgegebenes Problem, so dass die freien Parameter aus n Zusatzbedingungen bestimmt werden müssen. Abhängig vom Ort, für den diese Bedingungen formuliert werden, unterscheidet man Anfangs- und Randwertprobleme:

Theoretisch bilden die n Anfangs- oder Randbedingungen ein Gleichungssystem mit n Unbekannten (den Integrationskonstanten), die durch Lösung des Gleichungssystems berechnet werden können (bei den Eigenwertproblemen ist es ein homogenes Gleichungssystem mit der Frage, wann nichttriviale Lösungen möglich sind). Dieser Weg ist bei vielen Problemen nicht durchführbar, weil das Anfangs- bzw. Randwertproblem nicht analytisch lösbar ist. Allerdings müssen auch für eine numerische Lösung die Anfangs- bzw. Randbedingungen formuliert werden.

Die Frage, warum überhaupt die Unterscheidung zwischen Anfangs- und Randwertproblemen getroffen werden muss (schließlich könnte man ein Anfangswertproblem als Sonderfall des Randwertproblems betrachten), findet ihre wichtigste Antwort bei der Lösung von nichtlinearen Differenzialgleichungen: Die numerische Lösung (in der Regel die einzige Chance bei nichtlinearen Problemen) kann normalerweise nur für Anfangswertprobleme realisiert werden (und bei nichtlinearen Randwertproblemen muss man sich iterativ mit der Lösung von mehreren Anfangswertproblemen auf die Erfüllung der Bedingungen am anderen Rand "einschießen").

Beispiele

Beispiel: Mit Feder gefesselte Masse auf Gleitstein

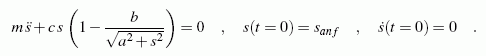
Anfangswertproblem 2. Ordnung: Eine Masse m kann sich auf der horizontalen Führung reibungsfrei bewegen. Sie ist durch eine (lineare) Feder gefesselt, die im entspannten Zustand die Länge b hat. Die Masse wird um sanf ausgelenkt und zum Zeitpunkt t=0 ohne Anfangsgeschwindigkeit freigelassen.

Die Differenzialgleichung, die die Bewegung beschreibt, findet man am einfachsten mit dem Prinzip von d'Alembert (Kapitel "Kinetik des Massenpunktes"). Es ist ein Anfangswertproblem, weil man die beiden zusätzlichen Bedingungen für die Differenzialgleichung 2. Ordnung an der gleichen Stelle aus der Aufgabenstellung entnehmen kann: Zum Zeitpunkt t=0 ist die Masse bei s=sanf und hat noch keine Geschwindigkeit v=ds/dt. Damit kann das Anfangswertproblem 2. Ordnung so formuliert werden:

Ein Anfangswertproblem 2. Ordnung beschreibt die Bewegung des Gleitsteins

Dieses nichtlineare Anfangswertproblem kann nur numerisch gelöst werden (komplette Lösung hier).

Ein statisch unbestimmt gelagerter Biegeträger als Beispiel für ein lineares Randwertproblem

Randwertproblem 4. Ordnung: Ein Biegeträger mit konstanter Biegesteifigkeit EI trägt eine konstante Linienlast q0. Er ist am linken Rand starr eingespannt (keine Durchbiegung v und horizontale Tangente der Biegelinie v'). Am rechten Rand ist er gelenkig (momentenfrei) gelagert (keine Durchbiegung v und kein Biegemoment). Weil das Biegemoment proportional zur zweiten Ableitung der Biegelinie ist, muss die zweite Ableitung am rechten Rand verschwinden. Zur Berechnung der Biegelinie kann mit der in diesem Fall besonders einfachen Differenzialgleichung der Biegeline 4. Ordnung folgendes Randwertproblem formuliert werden:

Lineares Randwertproblem 4. Ordnung

Dieses lineare Randwertproblem kann analytisch gelöst werden. Die komplette Lösung findet man im Kapitel "Verformungen durch Biegemomente".

Biegeschwingung

Lineares Eigenwertproblem 4. Ordnung: Ein Biegeträger mit konstanter Biegesteifigkeit EI und konstanter Massebelegung ρA kann Schwingungen senkrecht zur Trägerlängsachse ausführen. Der Träger ist am linken Rand starr eingespannt (keine Durchbiegung v und horizontale Tangente der Biegelinie v'). Am rechten Rand ist er gelenkig (momentenfrei) gelagert (keine Durchbiegung v und kein Biegemoment). Für die Analyse der Biegeschwingungen kann folgendes Eigenwertproblem formuliert werden:

Lineares Eigenwertproblem 4. Ordnung
Man beachte, dass sich dieses Eigenwertproblem von dem davor formulierten Randwertproblem nur darin unterscheidet, dass die Differenzialgleichung homogen ist. Man sieht sofort, dass es die triviale Lösung Z ≡ 0 hat. Diese ist zwar richtig ("Träger schwingt nicht"), aber uninteressant. Das Problem kann jedoch für bestimmte Werte des unbestimmten Parameters ω auch nichttriviale Lösungen haben (Träger schwingt mit der "Eigenkreisfrequenz" ω).

Die Lösung dieser Aufgabe wird in dem Skript "Biegeschwingungen gerader Träger" (PDF, 37 Seiten) neben zahlreichen anderen Aufgaben ausführlich behandelt und nach verschiedenen Verfahren gelöst. Im Internet findet man die Lösung über die Seite "Biegeschwingungen gerader Träger".

Komplizierte Randbedingungen, Übergangsbedingungen

Bei Problemen der Technischen Mechanik sind die Zusatzbedingungen, mit denen die allgemeine Lösung der Differenzialgleichung zur speziellen Lösung für ein vorgegebenes Problem wird, häufig nicht allein durch das Vorschreiben von Funktionswerten bzw. Ableitungen an bestimmten Punkten möglich. Zwei zusätzliche Schwierigkeiten tauchen auf:

Lineare Randwertprobleme werden durch komplizierte Rand- Übergangsbedingungen schwierig

Das skizzierte Problem ist eine Randwertaufgabe 4. Ordnung, bei der die Schwierigkeiten fast ausschließlich durch die Rand- und Übergangsbedingungen entstehen (schließlich ist für die Berechnung der Integrationskonstanten ein lineares Gleichungssystem mit 8 Unbekannten zu lösen). Es ist aber durchaus noch analytisch lösbar, auch wenn die Unterstützung durch einen Computer empfohlen werden muss. Die komplette Rechnung findet man hier.