Allgemeine Form der Eulerschen Differenzialgleichung
       Eine Eulersche Differenzialgleichung ist eine spezielle
          lineare Differenzialgleichung mit variablen Koeffizienten. Ihre
          allgemeine Form
               
          kann unter Verwendung des Summensymbols auch in der Form
          
          aufgeschrieben werden.
       
       
Grundsätzlich gelten alle Aussagen, die für die
       linearen Differenzialgleichungen
          (mit beliebigen Koeffizienten vor den Ableitungen)
          allgemein gelten. Sie werden hier noch einmal zusammengestellt:
       
       Die allgemeine Lösung einer linearen Differenzialgleichung
          mit konstanten Koeffizienten
          kann als Summe der allgemeinen Lösung 
yhom
          der zugehörigen homogenen Differenzialgleichung
          und einer beliebigen Partikulärlösung 
ypart
          der inhomogenen Differenzialgleichung zusammengesetzt werden:
          
          Die Lösung der homogenen linearen Differenzialgleichung n-ter Ordnung mit konstanten
             Koeffizienten
               
             ist die Linearkombinationen von genau 
n
             Partikulärlösungen. Diese müssen
           
            - die Differenzialgleichung erfüllen und
            
- linear unabhängig sein (keine der Funktionen
                darf sich als Linearkombination der anderen Funktionen darstellen lassen).
            
            Der wesentliche Vorteil der Eulerschen Differenzialgleichungen
            besteht darin, dass es
            für die Suche nach Partikulärlösungen, die die genannten Kriterien erfüllen,
            (wie für die 
linearen Differenzialgleichungen mit
            konstanten Koeffizienten) einen zuverlässigen Algorithmus gibt.
          
          
Es muss außerdem eine beliebige (wenn auch noch so simple) Lösung für die inhomogene
            Differenzialgleichung gefunden werden. Dafür gibt es leider kein
            allgemeingültiges Rezept, aber für die praktisch wichtigsten Störglieder
            sind Ansätze bekannt, die zuverlässig zum Ziel führen.
          
       Dass die Koeffizienten, die vor den Ableitungen der gesuchten
       Funktion stehen, Ausdrücke mit genau der gleichen Potenz wie der Grad
       der Ableitung sind, ist kein Zufall (die Eulersche Differenzialgleichung
       ist durchaus keine "akademische Spezialkonstruktion" der Mathematiker, weil man
       für sie geschlossene
       Lösungen findet). Wenn (wie für Probleme der Technischen Mechanik typisch)
       nach dimensionsbehafteten Größen abgeleitet wird, dann ändert sich die
       Dimension des Ausdrucks (aus einem y-Wert mit der
       Dimension N/mm2 wird bei Ableitung nach der mit der
       Dimension mm behafteten Variablen x ein
       y' mit der Dimension N/mm3, siehe
       nachfolgendes Beispiel).
       Da aber die Terme der Differenzialgleichung nur addiert werden können,
       wenn jeder Summand die gleiche Dimension hat, kann dies z. B. durch
       einen entsprechenden Faktor vor der Ableitung ausgeglichen werden.
       
           
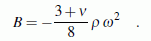
       Beispiel: Für die Berechnung der
          Radialspannungen σr
          (Dimension z. B.: N/mm2) in einer mit der
          Winkelgeschwindigkeit ω rotierenden
          Kreisringscheibe wird im Kapitel "Rotationssysmmetrische Modelle" die
          Differenzialgleichung hergeleitet:
          
          (
ν ist die Querkontraktionszahl des Materials,
          
ρ seine Dichte,
          die Koordinate 
r, die z. B. in
          mm gemessen wird, beginnt am Scheibenmittelpunkt).
          Dies ist eine Eulersche Differenzialgleichung.
      
      
       
       
     
     
     Lösung der homogenen Eulerschen Differenzialgleichung
       Für die homogene
          Eulersche Differenzialgleichung
          
          gibt es eine zuverlässig funktionierende Strategie, 
n
          linear unabhängige Partikulärlösungen (und damit die allgemeine Lösung
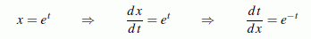
          der homogenen Differenzialgleichung) zu finden. Mit der Substitution
          
          geht die Eulersche Differenzialgleichung in eine lineare
          Differenzialgleichung mit konstanten Koeffizienten über. Dass dies funktioniert,
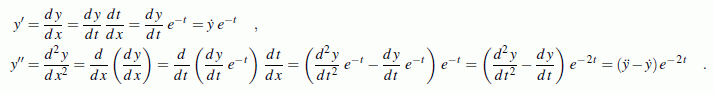
          wird schon beim Umschreiben der ersten beiden Ableitungen nach
          
x in Ableitungen nach 
t
          erkennbar (mit Strichen werden Ableitungen nach
          
x und mit Punkten Ableitungen nach
          
t gekennzeichnet):
          
          Die Faktoren bei den Substitutionen der Ableitungen lassen
          die variablen Koeffizienten verschwinden, wie man an der
          Substitution für eine Eulersche Differenzialgleichung 2. Ordnung sieht:
          
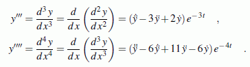
          Auch für die höheren Ableitungen lassen sich die Transformationsformeln
          herleiten:
          
          Damit ist die Strategie klar:
       
       
Die homogene Eulersche Differenzialgleichung
          
          geht mit der
          
          in eine homogene lineare Differenzialgleichung mit konstanten
             Koeffizienten über. Für die Transformation der Ableitungen
             stehen die oben angegebenen Formeln zur Verfügung.
          
          Die transformierte Differenzialgleichung kann nach den auf der Seite
             "Lineare Differenzialgleichungen mit konstanten Koeffizienten"
             ausführlich beschriebenen Regeln gelöst werden. Man gewinnt ein Fundamentalsystem
             für die transformierte Differenzialgleichung, das entsprechend
          
          
          rücktransformiert werden kann.
          
       In der Technischen Mechanik treten Eulersche Differenzialgleichungen
          bis zur 4. Ordnung auf. Unter Verwendung der oben genannten Transformation
          und der Formeln für die Ableitungen wird aus einer
          Eulerschen Differenzialgleichung 4. Ordnung
       
          
       die lineare Differenzialgleichung 4. Ordnung mit konstanten Koeffizienten
       
          
       Eine Eulersche Differenzialgleichung 4. Ordnung wird auf der
          Seite "Rotationssysmmetrische Kreis- und Kreisringplatten"
          vorgestellt. Hier soll die Strategie an einem einfacheren
          Beispiel demonstriert werden.
       
           
       Beispiel: Für die eingangs bereits
          vorgestellte Eulersche Differenzialgleichung 2. Ordnung
          für die Spannungsberechnung in einer rotierenden
          Kreisringscheibe
          
          soll das Fundamentalsystem für die zugehörige homogene Differenzalgleichung
          
          berechnet werden (Striche kennzeichnen hier die Ableitungen nach
          
r). Die Differenzialgleichung hat die Koeffizienten
          
a2 = 1,
          
a1 = 3 und
          
a0 = 0,
          so dass die Transformation
          
r = e t
          auf folgende Differenzialgleichung mit konstanten Koeffizienten
          führt:
          
          Entsprechend der Strategie für die
          
homogenen Differenzialgleichungen mit konstanten Koeffizienten
          wird mit einem Ansatz
          (
σr = e λ t )
          nach Partikulärlösungen für die homogene Differenzialgleichung gesucht.
          Man beachte, dass dieser Ansatz nichts mit der ähnlich aussehenden
          bereits durchgeführten Transformation zu tun hat. Einsetzen des Ansatzes in die
          Differenzialgleichung mit konstanten Koeffizienten liefert über die
          charakteristische Gleichung
          
          die beiden 
λ-Werte
          
λ1 = 0 und
          
λ2 = −2, mit
          denen das Fundamentalsystem und damit die Lösung für die
          transformierte homogene Differenzialgleichung
          aufgeschrieben werden kann:
          
          Die Rücksubstitution (
e t  = r)
          liefert die Lösung der homogenen Eulerschen Differenzialgleichung
          
       
         
     
     
     Patikulärlösung für die inhomogene Eulersche Differenzialgleichung
       Für die Suche nach einer Partikulärlösung für die
          inhomogene Eulersche Differenzialgleichung
               
          kann kein allgemeingültiges Rezept empfohlen werden. Für die
          Eulerschen Differenzialgleichungen, die in der Technischen
          Mechanik auftauchen, sind aber recht einfache Strategien
          bekannt, um zu einer Partikulärlösung zu kommen.
       
       
Für den wichtigsten Anwendungsfall einer
          Eulersche Differenzialgleichung 4. Ordnung wird auf der
          Seite "Rotationssysmmetrische Kreis- und Kreisringplatten"
          eine besonders elegante Methode vorgestellt.
          Hier soll eine einfache Strategie an dem bereits behandelten
          Beispiel demonstriert werden.
       
       Beispiel: Für die
          Differenzialgleichung
          für die Berechnung der Radialspannungen in einer rotierenden Scheibe
          
          wurde die Lösung der zugehörigen homogenen Differenzialgleichung
          mittels Transformation der unabhängigen Variablen
          
r = e t bereits gefunden.
          Man kann nun die Transformation auf das Störglied erweitern
          und erhält mit der inhomogenen lineare Differenzialgleichung
          mit konstanten Koeffizienten
          
          die Möglichkeit, den gesamten Katalog zu nutzen, der für die
          Partikulärlösungssuche für diesen Differenzialgleichungstyp
          verfügbar ist. In der entsprechenden
          
Tabelle wird
          für dieses Störglied der Ansatz
          
          empfohlen. Einsetzen in die transformierte inhomogene Differenzialgleichung
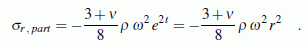
          liefert den Ansatzparameter:
          
          Damit ist die Partikulärlösung für die Differenzialgleichung mit
          konstanten Koeffizienten bekannt, die nach Rücktransformation
          die gesuchte Partikulärlösung der inhomogenen Eulerschen
          Differenzialgleichung ist:
          
          Mit der bereits oben berechneten Lösung für die homogene Eulersche
          Differenzialgleichung kann nun die allgemeine Lösung der
          Differenzialgleichung für die Spannungsberechnung in einer rotierenden
          Kreisringscheibe aufgeschrieben werden:
          
          Die beiden Integrationskonstanten müssen für ein spezielles Problem
          an zwei Randbedingungen angepasst werden, um die spzielle
          Lösung zu finden. Eine solche Aufgabe wird im
          Kapitel "Rotationssysmmetrische Modelle" gelöst.