Lineare Transformation, Matrix, Vektor

Die Lehre von den Matrizen befasst sich mit den linearen Beziehungen zweier Größensysteme

x1, x2, x3, .... , xn       bzw.     y1, y2, y3, .... , ym

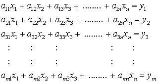
(n ist die Anzahl der x-Elemente, m die Anzahl der y-Elemente) in der Form

Lineare Transformation

Hierfür wird symbolisch

A x = y

geschrieben mit der mn-Matrix A (Rechteckmatrix mit m Zeilen und n Spalten) und den Vektoren x (n-dimensional) und y (m-dimensional):

mn-Matrix, n-dimensionaler Vektor x, m-dimensionaler Vektor y

Die aik sind die Elemente der Matrix A, die xi bzw. yi die Komponenten der Vektoren x bzw. y.

Die Beziehung  A x = y wird "Lineare Transformation des Vektors x in den Vektor y" genannt. Beziehungen dieser Art findet man in der Technischen Mechanik z. B. zwischen den Belastungen und Lagerreaktionen von Trägern und Rahmen, den Belastungen und den Stabkräften eines Fachwerks, den Belastungen und Verformungen von elastischen Tragwerken, ...

Man beachte, dass mit diesen Definitionen auch eine wichtige Rechenregel für den Umgang mit Matrizen und Vektoren festgelegt wurde:

Eine Matrix wird mit einem Vektor so multipliziert, wie es die eingangs angegebene
Beziehung zwischen den beiden "Größensystemen" beschreibt.